【International Sales Office】
Address:Room 2401,Tower B, Winner Plaza, No.100 Huangpudadao West Road, Tianhe District, Guangzhou,China
Tel:+86-020-38856806
Fax:+86-020-38856809
E-mail:feng@blueskychemical.com
【Chinese Company Headquarters】
Address:NO.8 Chemical Industry Park Economic Development Zone Xiantao,Hubei,China
Tel:+86-0728-3254088
Fax:+86-0728-3253808
E-mail:feng@blueskychemical.com
·POSITION:News → Company Activities → NEW BLUESKY SILANES for SolGel application
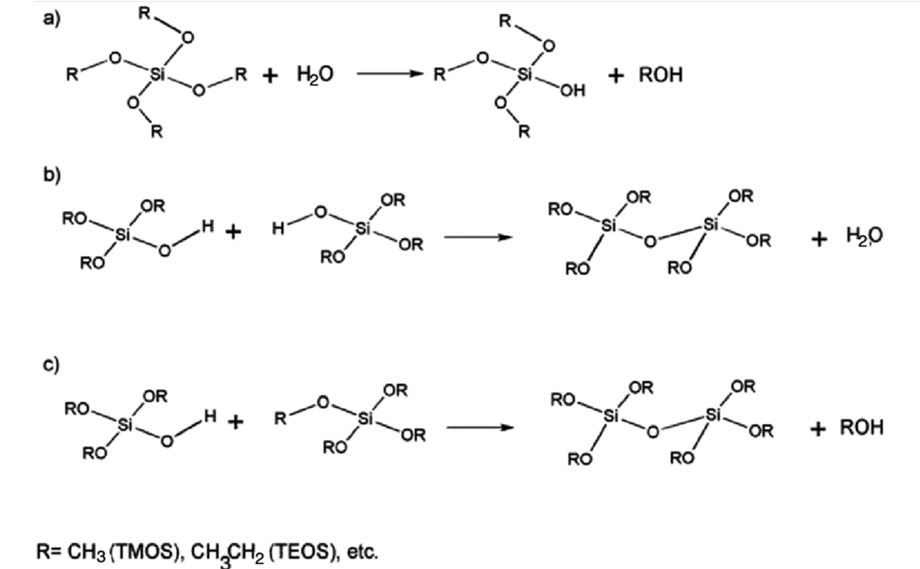
SolGel refers to a chemical reaction that facilitates the growth of colloidal particles, known as 'Sol,' and then forms a network structure. The precursors used to synthesize these colloids typically consist of metal or metalloid elements surrounded by various reactive ligands.
Various organosilanes can be used in SolGel, Aerogel, and Xerogel processes, with alkoxysilanes being the primary group.NEW BLUESKY offers a range of alkoxysilanes suitable for this application.
The coatings produced using the SolGel technique offer several key advantages, including:
- Corrosion resistance;
- Scratch resistance;
- Heat and UV resistance;
- Easy to clean, anti-fingerprint and anti-graffiti.
The produced coatings can be prepared into extremely thin material layers through deposition technology, which are widely used in industries such as architecture, automotive, solar energy, and cosmetics, etc.
※Functional silane belongs to the organic silicon industry chain, with both functional groups of organo-hydrophilicity and inorgano-hydrophilicity. It can improve mechanical properties, chemical stability, aging resistance, corrosion resistance, permeability resistance, adhesion of down-stream products. It is a class of important additives with a wide range of applications in photovoltaics, semiconductors, aerogels, construction, liquid silicone rubber, cable, coating, fiberglass, casting, pharmaceuticals and many other fields.
Hubei BlueSky New Material Co., Ltd. has been deeply involved in the functional silane industry for over 25 years, committed to becoming a specialized, refined and strong professional manufacturer, continuously expanding the application fields of functional silane to meet the constantly changing needs.
For more detailed information, please contact the sales manager of Hubei BlueSky New Material Co., Ltd.
Company address: No.8,Chemical Industry Park Economic Development Zone Xiantao,Hubei,China
Website: www.asilentboy.cn
Email: feng@blueskychemical.com
Tel.: 0728-3254088(Headquarters)
020-38856806(International Sales Department)
【International Sales Office】
Address:Room 2401,Tower B, Winner Plaza, No.100 Huangpudadao West Road, Tianhe District, Guangzhou,China
Tel:+86-020-38856806
Fax:+86-020-38856809
E-mail:feng@blueskychemical.com
【Headquarters & Plant】
No.8 Chemical Industry Park, Economic Development Zone, Xiantao, Hubei, China
Tel:+86-0728-3254088
Fax:+86-0728-3253808
E-mail:feng@blueskychemical.com
Copyright © 2023 Hubei BlueSky New Material INC.
鄂ICP備05028071號
鄂公網(wǎng)安備 42900402000406號
湖北工商網(wǎng)監(jiān)

